(通讯员杨亚璇)8月2日,公司教授吴江、博士研究生邹柳馨在FMS管理科学A级国际期刊Transportation Research Part E: Logistics and Transportation Review发表《The anti-collusion dilemma: Information sharing of the supply chain under buyback contracts》,解读反合谋困境中基于回购合同的供应链信息共享。
该文综合使用博弈论、数值仿真模拟等研究方法,聚焦于显性合谋和隐性合谋下的供应链信息共享。两个或更多公司通过定价软件横向地进行信息交换以制定相同的零售价格并获取更多收益属于法律所禁止的显性合谋。然而,隐性合谋通常不被视为非法行为,即竞争对手在没有实际协议的情况下协调价格,比如零售商可将批发价作为价格信号以推测出竞争者的价格信息并制定与其相同的零售价。合谋的案例常常出现在寡头垄断市场中,同时,回购合同的广泛使用进一步加剧了零售商之间的合谋。
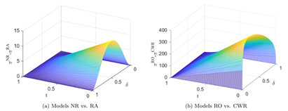
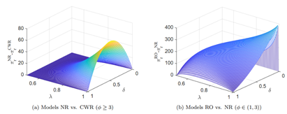
根据实际的合谋案例,该文重点考虑两个维度:合谋模式(显性合谋、隐性合谋)和信息共享类型(水平信息共享、水平和垂直信息共享)。基于以上两个维度,文章建立四种模型,并采用将单周期模型嵌入至无限重复博弈模型的方法来分析不同类型的合谋供应链。首先分别求解出中显性合谋和隐性合谋供应链中的均衡解(如表1和2所示),然后对模型进行数值仿真模拟,比较回购合约中供应链利润以及零售商对合谋模式的偏好选择(如图1和2所示),最后对模型进行鲁棒性检验。
表1显性合谋中的均衡解

表2隐性合谋中的均衡解


图1回购合同中供应链收益的比较

图2零售商对合谋的偏好
该文指出,在显性合谋的情况下,零售商并不愿意实施垂直地共享信息。然而,在需求不确定性较低的隐性合谋中零售商却会选择垂直信息共享。数值实验结果显示,虽然显性合谋通常会提高零售商的收益,但当需求不确定性较低时,其更愿意选择隐性合谋以识别价格信号。最后,鲁棒性检验证明了结论的稳健性。上述相关结论在一定程度上填补了回购合同中零售商合谋行为的研究空白,其发现能为回购合同下的供应链管理提供一些启示与参考。
论文连接:https://doi.org/10.1016/j.tre.2021.102413